


(本抽样检验结果及有关数据不得用作商业用途)
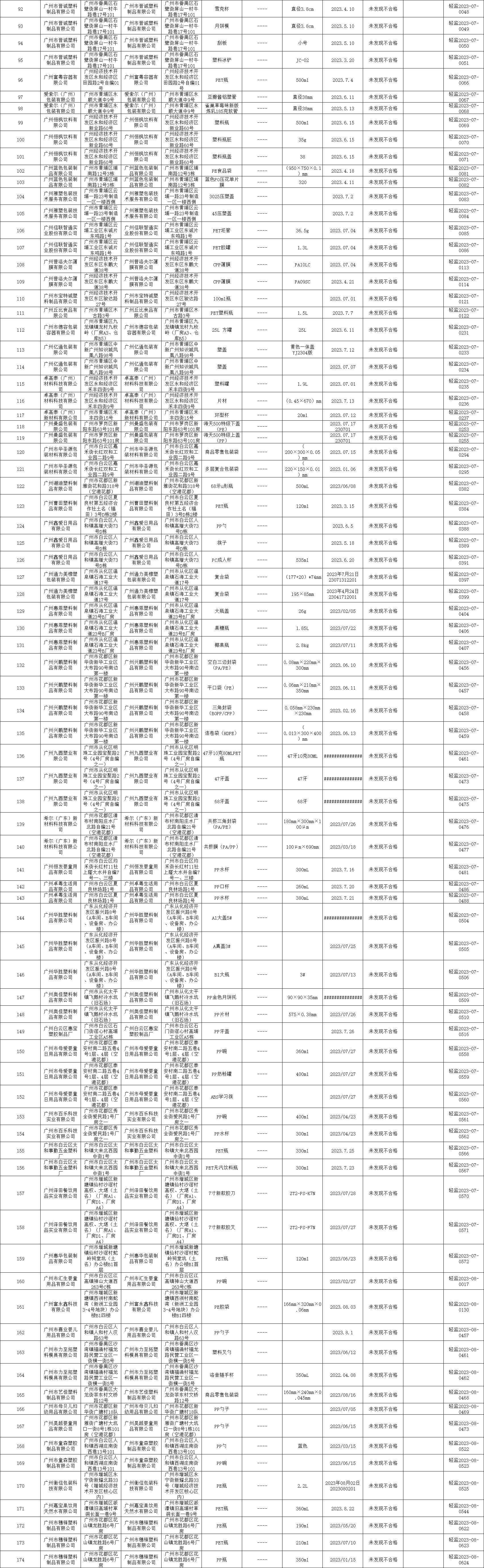
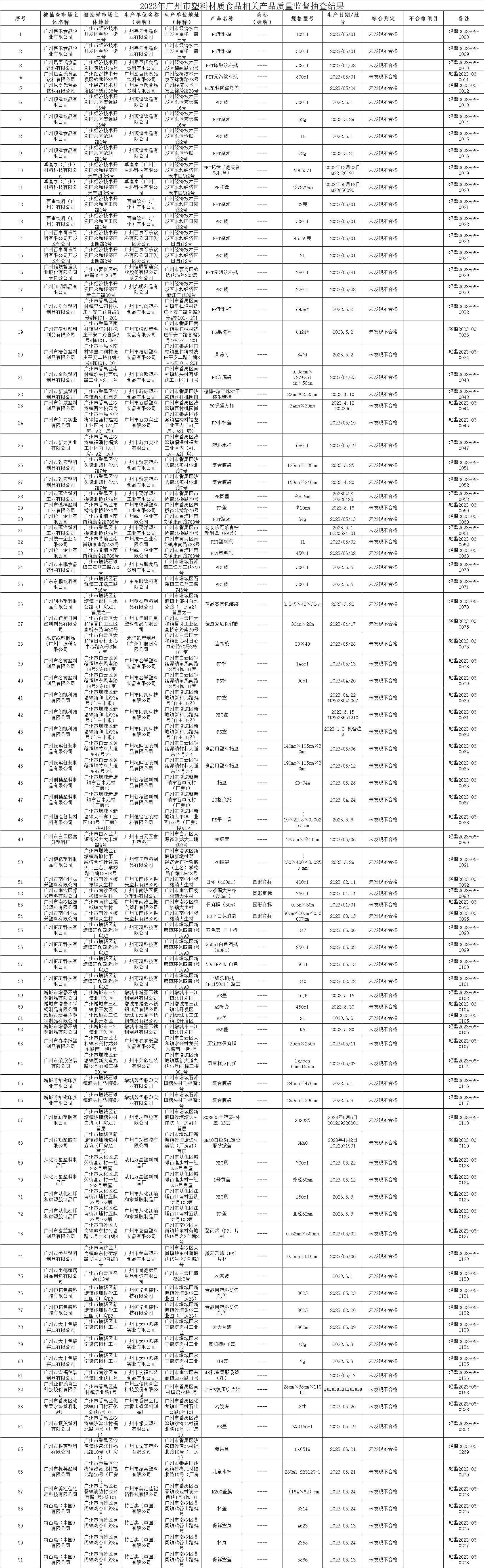
2023年第三季度,广州市市场监督管理局对塑料材质食品相关产品(不含塑料奶瓶)产品质量进行了监督抽查,共抽查了205批次样品,经检验,全部产品均符合标准要求。
本次抽查依据GB 4806.7-2016《食品安全国家标准 食品接触用塑料材料及制品》、GB 9683-1988《复合食品包装袋卫生标准》、GB/T 18006.1-2009 《塑料一次性餐饮具通用技术要求》及经备案有效的企业标准等标准,对感官要求、脱色试验、高锰酸钾消耗量、重金属(以Pb计)、总迁移量、蒸发残渣、大肠菌群、沙门氏菌、甲苯二胺、溶剂残留等项目进行检验。
附件:2023年广州市塑料材质食品相关产品质量监督抽查结果1.png
2023年广州市塑料材质食品相关产品质量监督抽查结果2.png
2023年广州市塑料材质食品相关产品质量监督抽查结果3.png
关注 · 广州政府网